


Investigación científica que respalda el trabajo de Pulsetto
Descubre los principios científicos detrás de la tecnología de Pulsetto y su enfoque basado en la evidencia.






Investigación científica que respalda el trabajo de Pulsetto
Descubre los principios científicos detrás de la tecnología de Pulsetto y su enfoque basado en la evidencia.
Desbloqueando el poder del nervio vago
Aprovechando el poder del nervio vago para ser más saludable y relajado

Desbloqueando el poder del nervio vago
Aprovechando el poder del nervio vago para ser más saludable y relajado
El nervio vago es el nervio craneal más largo y conecta al cerebro con varios órganos internos.
Su nombre proviene de la palabra latina que significa vagar, esto porque comienza en el cerebro y luego se ramifica hacia casi todos los órganos principales del cuerpo.
El nervio vago es el responsable de indicar al cerebro que libere neurotransmisores relajantes como la aceticolina y la serotonina.
El nervio vago es esencial para activar la respuesta de relajación que permite que puedad descansar y digerir.
¿Qué es la estimulación del nervio vago?

¿Qué es la estimulación del nervio vago?
La estimulación del nervio vago, o ENV, funciona enviando impulsos eléctricos al nervio vago (la principal vía de comunicación entre el cerebro y los órganos internos). Gracias a esta novedosa tecnología, podemos estimular el nervio vago de manera no invasiva, (nENV). ¡Es decir que no se necesitan cirugías ni agujas para lograr la estimulación!


stimulaciones
Conviértete en una de las millones de personas que confían en la tecnología con respaldo científico de Pulsetto y consigue un alivio efectivo a todas tus dolencias.

Estimulación para el sueño

Estimulación contra la ansiedad

Estimulación contra el estrés

Estimulación contra el dolor

Estimulación contra el agotamiento

Nota el impacto: Resultados de clientes que usan Pulsetto

Calidad del sueño

Niveles de estrés

Niveles de ansiedad

Sentimiento general

Agotamiento

Niveles de dolor
Respaldado por la ciencia
Investigaciones científicas que demuestran la eficacia de Pulsetto.

CorstisolSleepStressAnxiety
Non-Invasive Vagus Nerve Stimulation Reduces Depressive Symptoms, Improves Sleep, and Lowers Cortisol
Leer estudio
Sistema nerviosoFrecuencia cardíacaNervio Vago
The effect of transcutaneous cervical vagus nerve stimulation on the cardiac autonomic nervous system
Leer estudio
MigrañaNervio VagoAlivio del dolor
Evaluating the Efficacy of Bilateral Non-Invasive Vagus Nerve Stimulation in Reducing Migraine Symptoms: A Prospective Observational Study
Leer estudio
Alivio del dolorNervio VagoCalidad del sueño
Evaluating Non-Invasive Vagus Nerve Stimulation for Pain Management in Bechterew Disease: A Pilot Study
Leer estudio
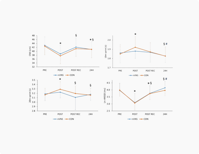
AtletasPatigaRecuperar
The use of non-invasive vagus nerve stimulation (Pulsetto™) as a post-exercise recovery strategy in male football players
Leer estudioEstudios futuros y en desarrollo
List of unpublished but ongoing studies involving the Pulsetto device.
El preferido de los expertos,
Recomendado por los doctores
En Belle Meade Chiropractic nos centramos en la neurología funcional, utilizamos Pulsetto para mejorar la función del sistema nervioso. Observamos en pacientes con transtornos del movimiento una reducción considerable de la rigidez y el tono muscular, una mejora del control motor y una marcha mucho más fluida. Asimismo, las migrañas suelen desaparecer durante las consultas, mientras que los pacientes con vértigo experimentan mejoras inmediatas en su equilibrio y percepción espacial. La pruebas neurológicas muestran una mejora sistemática de la función cerebelosa y del rendimiento de la corteza frontal. Aplicando los principios de la neurología funcional con Pulsetto, el Dr. Burton ha ayudado a sus pacientes a lograr mejoras rápidas y duraderas en el movimiento, el alivio del dolor y el bienestar general. "Me complace apoyarme en un dispositivo que cambia la vida de mis pacientes"
Quiropráctico
"Algunos de mis pacientes han utilizado este dispositivo, y yo ofreceré sesiones de prueba en mi clínica para todos aquellos que quieran probarlo. ¡Ofrecen 30 días de reembolso! así no cometerás ningún error.
En general, me gusta Pulsetto. Lo he estado usando durante casi dos años (no lo usé mientras estuve embarazada)"
Quiropráctica y coach del nervio vago, Carrie
Mi nombre es Ole Jorgen Frydenlund y soy acuounturista con más de 25 años de experiencia. Conocí Pulsetto hace seis meses por medio de un colega, y desde entonces lo uso a diario con mis pacientes. Es un producto emocionante que complementa la acupuntura perfectamente. Pulsetto ha mejorado significativamente los resultados de mi tratamiento. Un ejemplo, es el de un paciente que tenía problemas de sueño. Utilizó el dispositivo Pulsetto durante una semana y tras solo dos días, logró dormir profundamente. Recomiendo Pulsetto encarecidamente".
Acupunturista
"Encontré un anuncio en l´nea de Pulsetto y me pareció interesante, así que decidí adquirirlo. Desde entonces, utilizo Pulsetto diariamente, tanto para mí como con mis pacientes. Los comentarios han sido excelentes. Uno de mis pacientes, que sufre de ansiedad, tomó prestado mi Pulsetto durante un fin de semana. Cuando vino a su sesión del lunes me dijo que se sentía totalmente libre de ansiedad. Recomiendo Pulsetto completamente".
Acupunturista


Atención, investigadores
En Pulsetto buscamos colaborar con investigadores que sientan la necesidad de impulsar la atención médica y el bienestar a través de la neuromodulación.
Al combinar la innovadora tecnología de nuestros dispositivos con vustra experiencia, podremos abrir nuevos caminos para mejorar la atención al paciente y su bienestar general.
Trabajemos en colaboración para impulsar avances significativos. Contáctanos para explorar oportunidades de colaboración, no entusiasma realmente saber más sobre tu investigación.
¿Tienes alguna pregunta?
¡Estamos para responder! Escríbenos a: info@pulsetto.tech